Home >
News > The Strengthening Role of the Amino Group in Metal−Organic Framework MIL-53 (Al) for Methylene Blue and Malachite Green Dye Adsorption
The Strengthening Role of the Amino Group in Metal−Organic Framework MIL-53 (Al) for Methylene Blue and Malachite Green Dye Adsorption
Summary:
The authors from Tianjin Chengjian University developed MIL-53(Al)-NH₂ with high adsorption capacity and regenerability, achieving efficient removal of methylene blue (MB) and malachite green (MG) in aqueous solutions.

Background:
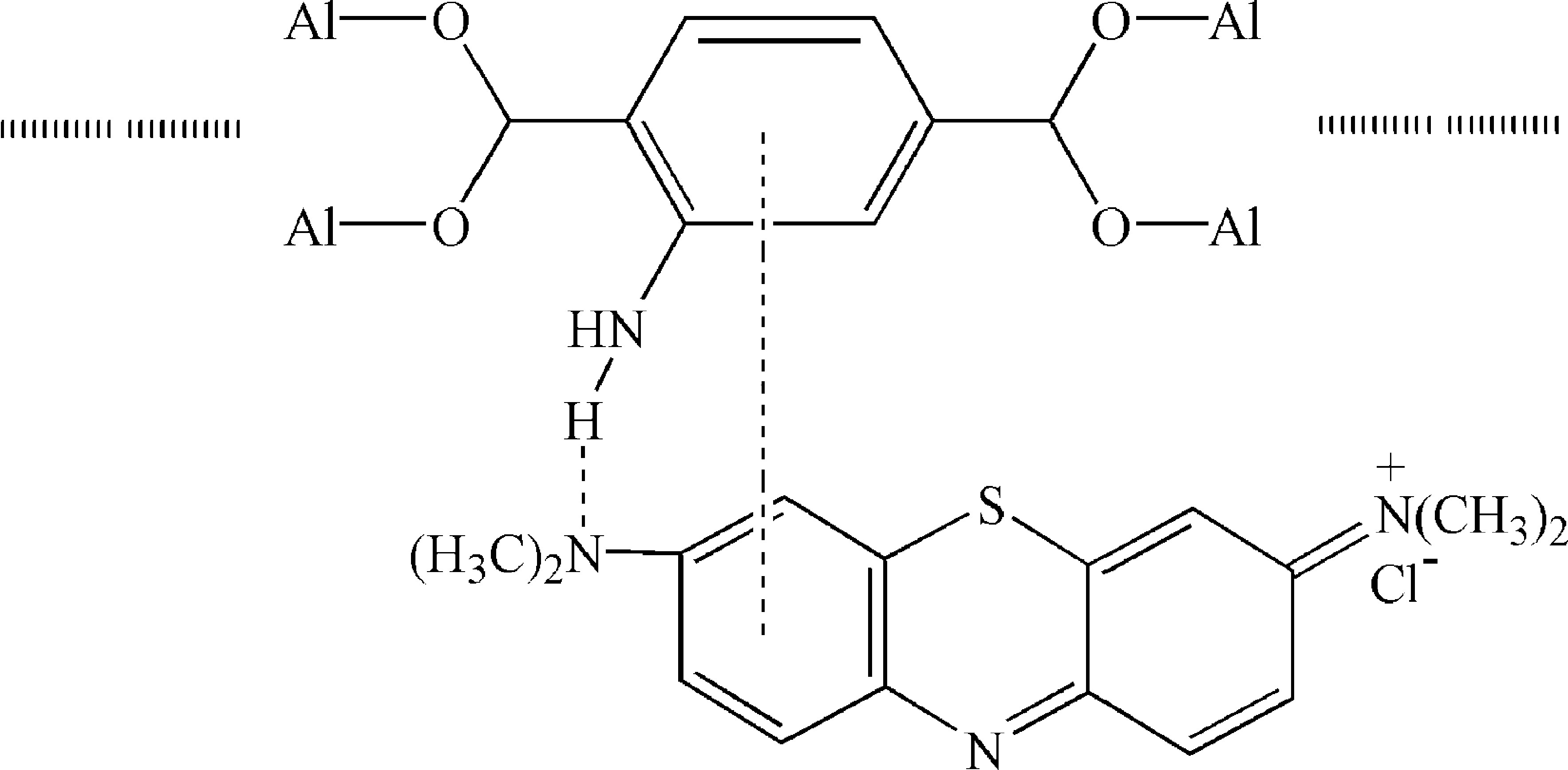
1. Dye-containing wastewater pollutes the environment and endangers health; existing adsorbents have low capacity and poor selectivity, while MIL-53(Al) shows extremely low adsorption for cationic dyes.
2. The authors introduced amino groups into MIL-53(Al) to synthesize MIL-53(Al)-NH₂, which significantly enhanced adsorption performance via hydrogen bonding.
Research Content:
1. Synthesis: MIL-53(Al) and MIL-53(Al)-NH₂ were synthesized by hydrothermal method using aluminum nitrate and terephthalic acid/2-aminoterephthalic acid as raw materials.
2. Characterizations:
1) No specific BET/pore size data provided; SEM shows MIL-53(Al)-NH₂ is 100 nm rough particles, MIL-53(Al) is 5 μm octahedral strips.
2) FT-IR confirms -NH₂ groups (3380, 3500 cm⁻¹); XRD shows consistent crystal structure with literature.
3) TGA: MIL-53(Al)-NH₂ stable up to 410 °C; zeta potential shows pHₚₑ = 10.5.
3. Application: Adsorbs MB (45.21 mg/g) and MG (37.77 mg/g) at 20 °C; retains 43-45% capacity after 4 regenerations; effective in 35‰ salinity seawater.
4. Mechanism: Adsorption follows pseudo-second-order kinetics and Langmuir model, spontaneous endothermic process; dominated by hydrogen bonding and π-π stacking.

Outlook:
This research provides a high-efficiency, recyclable adsorbent for dye wastewater treatment, especially in mariculture, with guiding significance for MOF functionalization.
The Strengthening Role of the Amino Group in Metal−Organic Framework MIL-53 (Al) for Methylene Blue and Malachite Green Dye Adsorption
Authors: Chen Li, Zhenhu Xiong, Jinmiao Zhang, Chunsheng Wu
DOI: 10.1021/acs.jced.5b00692
Link: https://pubs.acs.org/doi/10.1021/acs.jced.5b00692
The above review is for academic progress sharing. For any errors or copyright issues, please contact us for correction or removal.