Home >
News > Stable MOF-801 Composite Membrane for PEMs
Stable MOF-801 Composite Membrane for PEMs
Summary:
The authors from Nanjing Tech University, Beihang University, and Huanggang Normal University (P. R. China) developed MOF-801 and its composite membrane MOF-801@PP-X with high proton conductivity and extra water/acid stability, achieving promising results in proton-exchange membrane (PEM) for H₂/O₂ fuel cells.

Background:
1. To address the flaws of Nafion (mainstream PEM: poor thermal stability, high cost) and poor chemical stability/non-membrane formability of most proton-conducting MOFs, previous researchers developed modified Nafion or MOF-polymer composites, yet few combined high conductivity with robust stability and practical membrane form.
2. The authors proposed using water/acid-stable MOF-801 as filler, blending with PVDF-PVP matrix to fabricate composite membranes, obtaining materials with high proton conductivity and good processability.
Research Content:
1. Synthesis:
- MOF-801: Mixed fumaric acid (1 mmol) + ZrOCl₂·8H₂O (1 mmol) in DMF/formic acid (4:1.4 mL), 130℃ solvothermal reaction for 6 h, washed/dried; yield 68% (based on fumaric acid).
- MOF-801@PP-X: MOF-801 (20/40/60 wt%) sonicated in DMF, mixed with PVDF-PVP (3:7), stirred 4 h, cast into膜, 70℃ vacuum-dried.
2. Characterizations:
1) BET/pore size: MOF-801 has tetrahedral (4.8 Å) and octahedral (5.6/7.4 Å) cages; no BET specific surface area data provided.
2) SEM/TEM: MOF-801 is sub-micrometer microcrystals; composite membranes show uniform MOF dispersion.
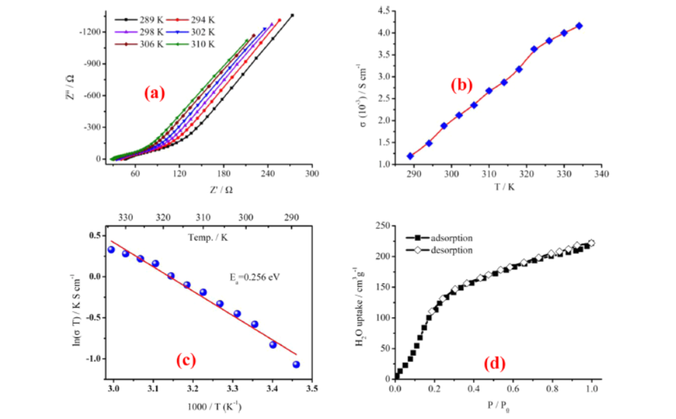
3) Electrochemical tests: MOF-801 (298K, 98%RH): σ=1.88×10⁻³ S·cm⁻¹; MOF-801@PP-60 (325K, 98%RH): σ=1.84×10⁻³ S·cm⁻¹.
3. Application: MOF-801@PP-60 as PEM in H₂/O₂ fuel cell (303K, 100%RH): open-circuit voltage 0.95V, max power density 2.2 mW·cm⁻².
4. Mechanism: Proton conduction follows Grotthuss mechanism; H-bonds between MOF’s Zr₆O₄(OH)₄, adsorbed H₂O form pathways for proton hopping.

Outlook:
This research develops MOF-801 with excellent conductivity/stability and its composite membrane, providing a new candidate for high-performance PEMs and promoting MOF practical application in electrochemical devices.
Extra Water- and Acid-Stable MOF-801 with High Proton Conductivity and Its Composite Membrane for Proton-Exchange Membrane
Authors: Jin Zhang, Hui-Juan Bai, Qiu Ren, Hong-Bin Luo, Xiao-Ming Ren, Zheng-Fang Tian, Shanfu Lu
DOI: 10.1021/acsami.8b09070
Link: https://pubs.acs.org/doi/10.1021/acsami.8b09070
The above review is for academic progress sharing. For any errors or copyright issues, please contact us for correction or removal.