Home >
News > Synthesis, Charact. of New Ce(IV)-MOFs with Topologies
Synthesis, Charact. of New Ce(IV)-MOFs with Topologies
Summary:
The authors from Christian-Albrechts-Universität zu Kiel developed a series of Ce(IV)-MOFs (Ce-UiO-66-BPyDC, Ce-DUT-67-PZDC, Ce-DUT-67-TDC, and Ce-MOF-808) with high surface areas (up to 2120 m²/g) and tunable framework topologies (fcu, reo, spn), achieving promising potential in catalysis and gas sorption applications.

Background:
1. To address the limited structural diversity and stability of Ce(IV)-MOFs, previous researchers focused on Zr(IV)-based analogs, achieving high thermal and chemical stability, yet Ce(IV) systems remained underexplored due to synthesis challenges and lower stability.
2. The authors proposed a modulated solvothermal synthesis using formic acid as a modulator and successfully obtained four new Ce(IV)-MOFs with controlled cluster connectivity and topology.
Research Content:
1. Synthesis:
The authors synthesized the materials via a rapid (15 min), low-temperature (100 °C) solvothermal method using Ce(IV) ammonium nitrate and organic linkers (H2BPyDC, H2PZDC, H2TDC, H3BTC) in DMF with formic acid as modulator.
2. Characterizations:
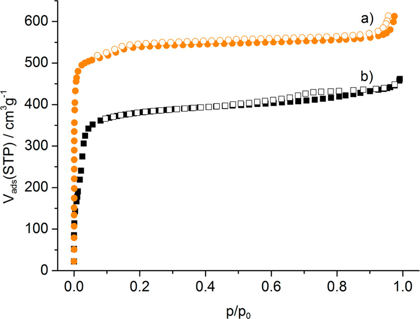
1) BET surface areas: Ce-UiO-66-BPyDC (2120 m²/g), Ce-MOF-808 (1725 m²/g); micropore volumes up to 0.85 cm³/g.
2) PXRD and Rietveld refinement confirmed isoreticular structures with Zr-MOF analogs; particle sizes in the nanocrystalline regime.
3) VT-PXRD and TGA showed thermal stability up to 330 °C (Ce-UiO-66-BPyDC) and 150 °C (Ce-MOF-808); IR and ¹H NMR confirmed linker incorporation and minimal formate content.
3. Application:
The materials were tested for N₂ sorption, showing Type I(a) isotherms indicative of microporosity. Ce-UiO-66-BPyDC and Ce-MOF-808 demonstrated high uptake and retention of crystallinity post-sorption, while Ce-DUT-67 analogs collapsed under activation.
4. Mechanism:
The performance is attributed to the robust [Ce₆(μ₃-O)₄(μ₃-OH)₄] cluster and linker geometry, which dictate framework topology and pore size. Formic acid modulates cluster connectivity without significantly coordinating to the final structure, preserving open metal sites.

Outlook:
This work expands the Ce(IV)-MOF family with isoreticular, high-surface-area frameworks, offering new platforms for redox catalysis and sorption applications. Future studies may focus on enhancing stability and exploring catalytic reactivity leveraging Ce(IV) redox properties.
Synthesis and Characterization of New Ce(IV)-MOFs Exhibiting Various Framework Topologies
Authors: Martin Lammert, Christian Glißmann, Helge Reinsch, Norbert Stock
DOI: 10.1021/acs.cgd.6b01512
Link: https://pubs.acs.org/doi/10.1021/acs.cgd.6b01512
The above review is for academic progress sharing. For any errors or copyright issues, please contact us for correction or removal.