Home >
News > Proton Conductivities in Functionalized UiO-66: Tuned Properties, Thermogravimetry-Mass and Molecular Simulation Analyses
Proton Conductivities in Functionalized UiO-66: Tuned Properties, Thermogravimetry-Mass and Molecular Simulation Analyses
Summary:
The authors from Beijing University of Technology and Beijing University of Chemical Technology developed functionalized UiO-66 (UiO-66-SO₃H, UiO-66-2COOH, etc.) with tunable proton conductivity, achieving high conductivities (up to 0.34×10⁻² S·cm⁻¹) in proton exchange membrane-related applications.

Background:
1. To address the high cost and unclear structure-conductivity relationship of commercial proton exchange membranes (e.g., Nafion), previous researchers developed proton-conducting MOFs via direct synthesis or pore modification, but conductivities were unpredictable or required complex processes.
2. The authors proposed using isostructural UiO-66 as a platform, modifying ligands with different functional groups, and combining TG-MS and molecular simulation to study water-MOF interactions, obtaining tunable high proton conductivities.
Research Content:
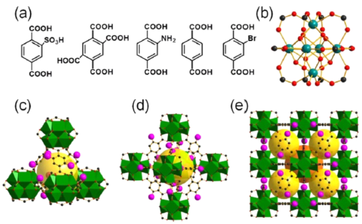
1.Synthesis:
The authors synthesized UiO-66-X (X=-SO₃H, -2COOH, -NH₂, -Br, -H) via solvothermal/autoclave methods. For example, UiO-66-SO₃H was prepared by reacting ZrOCl₂·8H₂O and BDC-SO₃Na in formic acid/DMA at 150℃ for 24h; products were washed, solvent-exchanged with acetone, and dried at 80℃ under reduced pressure.
2.Characterizations:
1) BET: UiO-66 (1204 m²·g⁻¹) > UiO-66-NH₂ (1070 m²·g⁻¹) > UiO-66-Br (957 m²·g⁻¹) > UiO-66-2COOH (437 m²·g⁻¹) > UiO-66-SO₃H (387 m²·g⁻¹); pore volumes: 0.49, 0.41, 0.47, 0.24, 0.32 cm³·g⁻¹ respectively.
2) No SEM/TEM particle size data provided.
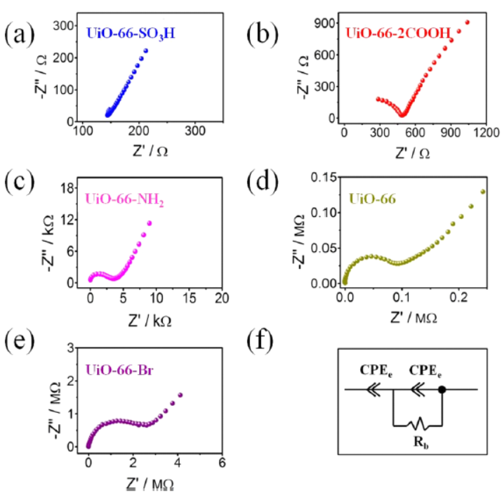
3) Electrochemical tests: At 303K/97% RH, conductivities were UiO-66-SO₃H (0.34×10⁻² S·cm⁻¹, Eₐ=0.27 eV), UiO-66-2COOH (0.10×10⁻² S·cm⁻¹, Eₐ=0.18 eV), others lower.
3.Application:
Tested as proton-conducting materials; UiO-66-SO₃H and UiO-66-2COOH showed superionic conductivity, potential for proton exchange membranes.
4.Mechanism:
TG-MS showed two water desorption steps for UiO-66-SO₃H/2COOH (strong water affinity); molecular simulation revealed high -Qst (86.50/52.10 kJ·mol⁻¹) and hydrogen-bond networks, enabling Grotthuss proton transport; UiO-66-Br used vehicle mechanism.

Outlook:
This research realizes tunable proton conductivity of UiO-66 via functional group modification, provides a new method (TG-MS) to study water-MOF interactions, and promotes the development of MOF-based proton exchange membrane materials.
Proton Conductivities in Functionalized UiO-66: Tuned Properties, Thermogravimetry-Mass and Molecular Simulation Analyses
Authors: Fan Yang, Hongliang Huang, Xiayan Wang, Fan Li, Yuhan Gong, Chongli Zhong, Jian-Rong Li
DOI: 10.1021/acs.cgd.5b01190
Link: https://pubs.acs.org/doi/10.1021/acs.cgd.5b01190
The above review is for academic progress sharing. For any errors or copyright issues, please contact us for correction or removal.